座機:027-87580888
手機:18971233215
傳真:027-87580883
郵箱:didareneng@163.com
地址: 武漢市洪山區魯磨路388號中國地質大學校內(武漢)
產業技術研究開封祥符區地熱資源開發潛力及應用前景評價
文章來源:地大熱能 發布作者: 發表時間:2025-01-20 15:21:50瀏覽次數:1032
低碳化發展已成為全球共識,具有綠色、清潔、穩定優勢的地熱資源受到高度重視,全球接近50%的國家已將地熱運用于發電和供暖中。地熱資源根據不同埋深可分為淺層地熱資源(地球淺表200 m以內,溫度低于25℃);中深層地熱(深度介于200~3 000 m,溫度介于 25~150℃);深層(3 000 m以深,溫度高于150℃)。其中, 中國中深層地熱能可采資源量折合標準煤1 8.65×108t,主要分布于沉積盆地、東南沿海和隆起山區,開發潛力大。地熱資源的高效開發利用有助于改善能源結構,減少碳排放,助力實現“碳中和”“碳達峰”戰略目標。
河南省地熱資源豐富,主要以沉積盆地傳導型為主。 對于地熱清潔供暖項目的應用試點,目前已在安陽等多地區開展,效果顯著。開封市擁有占全省12.32%的地熱資源可開采量,是下一步資源開發利用重點區。
1.1儲層地質特征
該研究區塊祥符區處于開封凹陷區東部與通許凸起區北部,由圖1可以看出,鄭州—蘭考斷裂以北位于開封凹陷區,斷裂以南位于通許凸起區。
1.2溫度場特征
1.2.1熱儲垂向分布特征
祥符區熱儲溫度場垂向上分為變溫帶、恒溫帶和增溫帶3部分。增溫帶熱儲溫度場分布特征采用地溫梯度表示,通過式(1)對祥符區熱儲的地溫梯度進行計算。根據開封及周邊以往地熱井資料分析,區內地溫梯度隨深度的變化規律如圖2所示。
式中:GT為地溫梯度,單位℃/hm;t為鉆孔取水段水溫,單位℃;t0為恒溫帶溫度,單位℃,取值15.9℃;h為鉆孔取水段平均埋深,單位m;h0為恒溫帶埋深,單位m,取值20 m。
祥符區增溫帶熱儲溫度在垂向上的變化特征為:①深度介于300~<800 m為溫水,平均水溫介于3 1.96~42.01℃; ②深度介于800~<1 300 m為溫熱水,平均水溫介于 48.70~65.25℃;③深度為1 300 m以深為熱水,其中深度介于1 300~<1 600 m平均水溫為65℃左右;深度介于1 600~<2 200 m平均水溫可達75℃。2 200 m以深為古近系熱儲,主要分布在祥符區中北部開封凹陷區內, 厚度大于1 000 m,預計溫度可達90℃以上,但根據上述關于區內熱儲層特征描述部分可知古近系熱儲地熱條件較差,熱儲溫度計算公式如下:
式中:T為熱儲溫度,單位℃;d為熱儲埋藏深度,單位m;hc為常溫帶埋藏深度,單位m;t c 為常溫帶溫度,單位℃。
1.2.2深層熱儲溫度平面分布
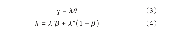
深層溫度平面分布特征采用熱流值進行描述,通過式(3)計算發現,開封市祥符區熱流值約為57.782 mW/m2, 開封市祥符區周邊區域地表熱流值平面情況見圖3,可見高地表熱流值位于祥符區周邊附近,與淺層熱儲溫度分布特征基本一致,該現象也反映出祥符區在區域上地熱賦存條件相對更好。
式中:q為地表熱流值,單位mW/m2;λ為測溫度井段圍巖中熱儲層的熱導率,單位W/(m·K);θ為地溫梯度,單位℃/hm,取平均值3.24;λ'、λ″分別為砂巖、黏土層的熱導率,單位W/(m·K);β為熱儲層的砂巖層比(即砂層總厚度與熱儲層總厚度之比)。
熱儲層砂巖層比和熱導率如表1所示,開封市周邊地溫梯度約為3.42℃/hm。開封市周邊為整個開封凹陷區地溫梯度最高區域,向東西兩側地溫梯度呈現明顯降低趨勢。此外,高地表熱流值位于祥符區附近,與淺層熱儲溫度分布特征基本一致,這也反映出祥符區在區域上地熱賦存條件相對更好。1 000 m深度處,開封地區熱儲溫度大于48℃,最高溫度為53.69℃,平均溫度為48.47℃。
1.2.3熱儲溫度分布的影響因素分析
祥符區位于開封凹陷與通許凸起2個構造單元,2個構造單元內熱儲層巖性差異不大,蓋層條件也基本一致。 總體上看,熱儲溫度平面分布差異主要受構造體系、熱儲層基底(基巖)埋深、地下水活動和蓋層厚度的影響較大。
祥符區附近受多種構造體系的影響,熱水一方面通過蓋層的孔隙和細小裂隙極其緩慢地向上滲透,另一方面其熱量亦不斷向周圍巖層傳導,容易形成熱儲溫度偏高的異常區。
地下水活動對地熱運移和分布的影響主要表現在兩方面:一是在開封凹陷區邊緣地帶形成了低溫帶,而凹陷區中心同深度的熱儲溫度較邊緣偏高;二是古近系及以下地層中深部熱水通過斷裂和裂隙向上施加的影響,構造越發育,新近系地層熱儲溫度也越高。巖性結構是影響熱儲溫度及地溫梯度在縱向上變化的重要因素之一。祥符區內地熱儲層的蓋層平均厚度約為300 m,黏土層總厚度約占蓋層總厚度的60%,隔熱性能較好,有利于熱儲層的保溫作用。
1.3地熱成因及熱儲類型
地熱系統的成因模式有傳導型和對流型2種。根據上述區域地溫場分布影響分析可知,祥符區地熱成因是傳導和對流雙重影響的結果。祥符區內新近系地熱系統的成因模式為傳導-對流-傳導。一般來說,對流型地熱系統的地溫梯度大于4℃/hm,而祥符區所處開封凹陷區與通許凸起區內地溫梯度均小于4℃/hm,因此祥符區內地熱系統成因機制中傳導起主要作用,而對流因素對區域熱儲溫度分布的不均一性有重要影響。
祥符區中北部開封凹陷區內新生代以來地殼下沉, 沉積物厚超過3 000 m,其南部通許凸起區內缺失古近系,新生界厚度約2 000 m。在這種環境下,祥符區地熱類型主要為沉積盆地型與斷裂構造型熱儲。
2熱儲流體特征
2.1地熱流體化學類型
祥符區熱儲縱向上由于溫度差異主要包含溫水層(深度介于300~<800 m)、溫熱水儲層(深度介于 800~<1 300 m)、熱水儲層(深度為1 300 m以下),不同熱儲層位地熱流體表現出不同的化學類型,溫水儲層的水屬弱堿性水,pH值一般介于7.6~8.3;溫熱水儲層的水屬弱堿性水,pH值一般介于7.4~8.1;熱水儲層pH值約 8.2,屬弱堿性水。而祥符區西羌寨北部2 004 m深KR2 地熱井水質化驗結果分析可知,祥符區通許凸起區內該層地熱流體水化學類型為Cl—Ca·Mg型,pH值約6.89, 屬弱酸性水。
2.2地熱流體化學組分分布特征
祥符區所處開封凹陷區內熱儲層深度介于 300~<800 m、800~<1 300 m層位水化學類型以 HCO3—Na型為主,1 300 m以深層位水化學類型以Cl—Na 型、Cl—Ca·Mg型為主。深度介于300~1 300 m水化學類型為HCO3—Na型水,1 300 m以深主要為Cl—Na型、 Cl—Ca·Mg型水,且隔水層良好。另外,在1 300 m以深熱儲中水化學成分有以下特點:①祥符區城區附近Na+、 K+離子含量由406 mg/L向下增大至1 668 mg/L,祥符區西南西羌寨附近Na+、K +離子總含量降低至1 15 mg/L,而 HCO3-離子含量由572 mg/L向下下降到305 mg/L;②溶解性自上而下增大,由721 mg/L上升至10 400 mg/L,含鹽量顯著上升,水質由淡水變為咸水;③地熱流體上部總硬度32 mg/L,屬極軟水,下部總硬度增加到5 354 mg/L,屬特硬水。地熱流體化學組分空間分布見圖4。
2.3地熱流體同位素特征
開封凹陷區內大氣降水和地熱流體的同位素分析成果值如表2所示。由表1和表2可以看出,位置相近的地熱井隨著熱儲層埋深增加,地熱流體年齡也在增大;各熱儲層地熱流體年齡的差異表明各熱儲層間相互之間無明顯的水力聯系。

3.1區塊地熱資源特征
開封市祥符區位于開封凹陷區與通許凸起區2個地質構造單元,根據區域地層、構造發育以及周邊地熱井鉆探資料,祥符區可劃分為2個熱儲分區。Ⅰ區位于開封凹陷區(面積677 km2),Ⅱ區位于通許凸起區(面積 576 km2)。Ⅰ區垂向上可劃分為3個熱儲層,分別為新近系明化鎮組熱儲、館陶組熱儲、古近系熱儲;Ⅱ區垂向上可劃分為2個熱儲層,分別為新近系明化鎮組熱儲與館陶組熱儲。
3.2地熱資源量評估
祥符區地熱流體可開采總量為9.39×108m3(日開采量為25 703 m3)。其中溫水儲層地熱流體可開采量為6.89×108m3(日開采量為1 8 853 m3);溫熱水儲層地熱流體可開采量為2.06×108m3(日開采量為5 65 1 m3);熱水儲層地熱流體可開采量為0.44×108m3(日開采量為1 199 m3)。地熱流體可開采資源所含熱量計算結果見表3所示,地熱流體可開采資源所含熱量計算公式如下
式中:Qc為地熱流體允許開采資源量,單位m3;μ為熱儲彈性釋水系數;A為熱儲面積,單位m2;Sm ax 為最大允許降深,單位m;P為地熱流體可開采資源量之所含熱量,單位J;ρw為地熱流體密度,單位kg/m3;c w 為地熱流體比熱容,單位J/(kg·℃);T為熱儲平均溫度,單位℃;t0為恒溫帶溫度,單位℃。
3.3.1回灌條件下地熱流體可開采量
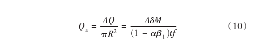
Q 式中:R為回灌條件下地熱井對熱儲的影響半徑,單位 m;α為巖石的溫度系數;β1為回灌率,根據本次先導性地熱井回灌試驗,回灌率為100%;δ為熱儲溫度下降2℃減少的熱儲存量的比例;M為熱儲平均有效厚度,單位m; t為時間,單位d,取值為36 500 d;th為回灌溫度,單位℃,取25℃;tr為熱儲溫度,單位℃;t 0 為恒溫帶溫度,單位℃, 取15.9℃;Qh為回灌量,單位m3/d;Q為地熱井產量,單位m3/d,該次計算按1 920 m3/d;Qa為回灌條件下允許開采量,單位m3/d;f為水比熱容與熱儲熱容的比值。回灌條件下祥符區地熱流體可開采總量為36.07×109m3(日開采量為988 286 m3)。其中,溫水儲層地熱流體可開采量為21.98×109m3(日開采量為602 256 m3);溫熱水儲層地熱流體可開采量為8.93×109m3(日開采量為 244 6 15 m3);熱水儲層地熱流體可開采量為5.16×109m(日開采量為141 415 m3)。回灌條件下祥符區地熱能可開采總量為4.89×1018J,折合標準煤為16 680×104t,其中溫水儲層可利用熱量為2.09×1018J,折合標準煤為 7 130×104t,供熱能力為15 906 MW;溫熱水儲層可利用熱量為1.38×1018J,折合標準煤為4 7 10×104t,供熱能力為10 502 MW;熱水儲層可利用熱量1.42×1018J,折合標準煤為4 840×104t,供熱能力為10 807 MW,見表4。

3.3.2熱儲開發利用前景
祥符區新生界熱儲地熱流體推斷無回灌條件下地熱流體可開采總量為9.39×108m3(日開采量為2.57×104m3, 可開采熱量為10.96×1016J),折合標準煤為3.75×106t,供熱能力為34.79 MW。完全回灌條件下推斷可采地熱流體總量為36.07×109m3(日開采量為988 286m3),可開采熱量為4.89×1018J,折合標準煤為16 680×104t,供熱能力為37 215 MW,開采潛力巨大。
4結論
1)祥符區具有顯著的地熱資源開發潛力。無回灌條件下,地熱資源有限,總量為9 390×104m 3,完全回灌條件下,可開采量顯著增加,顯示出巨大的開發潛力。
2)祥符區的地熱資源受地質構造和溫度場分布的影響較大。祥符區附近的熱儲層溫度較高,地質條件優越,適宜進行地熱資源開發。
3)不同深度的熱儲層間水化學類型存在明顯差異, 各熱儲層之間具有良好的隔層。這種特征有利于不同熱儲層的獨立開發和利用,提高了地熱資源開發的效率。
上一篇 > 水源熱泵系統對安陽市區淺層地下水環境的影響研究
下一篇 > 河北省衡水區域地熱地質特征研究








